39 specific heat worksheet answers

Calculating Specific Heat Worksheet Answer Key.pdf ANSWER c MEDIUM 51 A service department provides specific functional tasks for document 85 ACM 1 TASK 1 MANAGING CHANGE.docx 7 1.docx 2 Which of the following is the usual basis for evaluating telecommuting employees document 330 EXTRAOCULAR MUSCLES 1 Test the six extraocular movements Ask the patient to document 9 THERMOCHEMISTRY.docx 7 Honors Chemistry Worksheet - Specific Heat What is the specific heat of this object? (Ans. 0.48 cal/g oC or 2.0 J/g oC) 3. 1,200 cal of heat energy is added to a liquid with a specific heat of 0.57 cal/g°C. If the temperature increases from 20.°C to 33°C, what is the mass of the liquid? (Ans. 190 g) 4. A piece of food is burned in a calorimeter that contains 200.0 g of water.

DOC Specific Heat Worksheet - Winston-Salem/Forsyth County Schools (Cp of H2O = 4.184 J/g °C) 11. How much energy is required to heat 120.0 g of water from 2.0 °C to 24.0 °C? (Cp of H2O = 4.184 J/g °C) 12. How much heat (in J) is given out when 85.0 g of lead cools from 200.0 °C to 10.0 °C? (Cp of Pb = 0.129 J/g °C) 13.

Specific heat worksheet answers

Specific heat worksheet answers

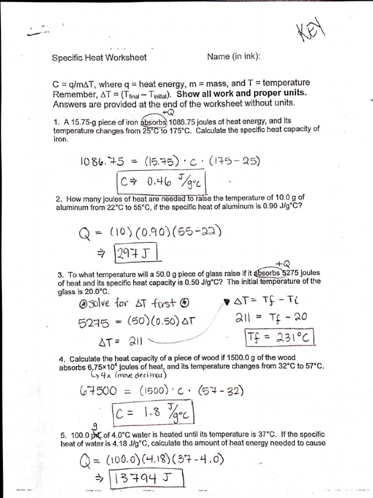
Free Printable Specific Heat Worksheet Answers Collection Free Printable Specific Heat Worksheet Answers Collection The amount of heat required to raise the temperature of one gram of a substance by one Celsius degree is referred to as specific heat. Specific heat is usually measured in calories or joules per gram per Celsius degree. Water, for example, has a specific heat of 1 calorie (or 4.186 joules) per gram per Celsius degree. This is an attractive topic that kids will absolutely be crazy about! However, the trouble theories are too difficult ... DOC Specific Heat Practice Problems - Henry County Schools Specific Heat Use the table below to answer the following questions. Substance Specific Heat (J/g•°C) water 4.179 aluminum 0.900 copper 0.385 iron 0.450 granite 0.790 When 3.0 kg of water is cooled from 80.0(C to 10.0(C, how much heat energy is lost? How much heat is needed to raise a 0.30 kg piece of aluminum from 30.(C to 150(C? PDF Isd 622 Specific Heat Worksheet Cp = q/mAT, where q = heat energy, m = mass, and T = temperature A 15.75-g piece of iron absorbs 1086.75 joules of heat energy, and its temperature changes from 250C to 1750C. Calculate the heat capacity of iron .cp 5 Cp How many joules of heat are needed to raise the temperature of 10.0 g of aluminum from 220C

Specific heat worksheet answers. Calculating Specific Heat Worksheet Answer Key .pdf - engineering2.utsa specific heat worksheet answer key, as one of the most operating sellers here will definitely be in the midst of the best options to review. Principles of Modern Chemistry David W. Oxtoby 1999-01-01 Thermodynamics For Dummies Mike Pauken 2011-07-12 Take some heat off the complexity of thermodynamics Does the PDF Specific Heat and Heat Capacity Worksheet - New Providence School District Specific Heat and Heat Capacity Worksheet DIRECTIONS: Use q = (m)(Cp))(ΔT) to solve the following problems. Show all work and units. Ex: How many joules of heat are needed to raise the temperature of 10.0 g of aluminum from 22°C to 55°C, if the specific heat of aluminum is 0.90 J/g°C? 1. Specific heat worksheet Flashcards | Quizlet The specific heat of water is 1 cal/g°C. 2130 cal (endothermic) If a 3.1g ring is heated using 10.0 calories, its temperature rises 17.9°C. Calculate the specific heat capacity of the ring. 0.18 cal/g °C. The temperature of a sample of water increases from 20°C to 46.6°C as it absorbs 5650 calories of heat. 50 Specific Heat Worksheet Answers | Chessmuseum Template Library 50 Specific Heat Worksheet Answers one of Chessmuseum Template Library - free resume template for word education on a resume example ideas, to explore this 50 Specific Heat Worksheet Answers idea you can browse by Template and .

Specific Heat Problems Worksheets - K12 Workbook Displaying all worksheets related to - Specific Heat Problems. Worksheets are Specific heat practice problems work with answers, Specific heat wksht20130116145212867, Calorimetry problems, Specific heat problems, Latent heat and specific heat capacity, 13 0506 heat and heat calculations wkst, Calorimetry work, Skill and practice work. Specific Heat Problems with Answers for AP Physics Solution: The specific heat capacity is the amount of heat energy required to raise the temperature of a system with mass of m m by \Delta T ΔT so applying its formula we get \begin {align*} c&=\frac {Q} {m\Delta T}\\ \\&=\frac {4190\,J} { (1\,kg) (1\,K)}\\ \\&=4190 \quad {\rm J/kg\cdot K}\end {align*} c = mΔT Q = (1kg)(1K)4190J = 4190 J/kg⋅K Heat and Heat Capacity Worksheet Answers PDF | PDF | Precipitation ... Specific Heat and Heat Capacity Worksheet 1 The temperature of 335 g of water changed from 24.5oC to 26.4oC. How much heat did this sample absorb? c for water = 4.18 J/goC (ans. 2.66 kJ) 2. How much heat in kilojoules has to be removed from 225g of water to lower its temperature from 25.0oC to 10.0oC? (ans. -14.1 kJ) 3. Specific Heat Worksheet #2 Answer Key - myilibrary.org Specific Heat Worksheet #2 (Answer Key) 1. Brass is an alloy made from copper and zinc. A 0.66 kg sample of brass at 98.6 o is dropped into 2.33 kg of water at 4.6 o C. If the equilibrium temperature is 7.0 o C, what is the specific heat capacity of brass.

Specific Heat Chem Worksheet 16-1 Answer Key With Work Worksheet- Calculations involving Specific Heat 1. For q= m c Δ T : identify each variables by name & the units associated with it. q = amount of heat (J) m = mass (grams) c = specific heat (J/g°C) ΔT = change in temperature (°C) 2. Heat is not the same as temperature, yet they are related. Explain how they differ from each other. Specific Heat Practice Problems Worksheet With Answers Specific Heat Worksheet. Specific Heat. DIRECTIONS: Use q = (m)(?T)(Cp) to solve the following problems. Show all work and units. A 15.75-g piece of iron absorbs 1086.75 joules of heat energy, and its temperature changes from 25°C to 175°C. Calculate the specific heat capacity of iron. Calorimetry Practice Problems Some of the worksheets ... Specific Heat and Heat Capacity Worksheet - DocsLib Name: _____Date: _____Period: ____ Specific Heat and Heat Capacity Worksheet . DIRECTIONS: Use q = (m)(Cp))(ΔT) to solve the following problems. Show all work and units.. Ex: How many joules of heat are needed to raise the temperature of 10.0 g of aluminum from 22°C to 55°C, if the specific heat of aluminum is 0.90 J/g°C?. 1. The temperature of 335 g of water changed from 24.5oC to 26.4oC. Specific Heat Worksheet Answers - Edu Stiemars Sep 17, 2022 · Specific Heat Worksheet Answers. A 4.50 g coin of copper absorbed 54 energy of heat. Interactive resources you possibly can assign in your digital classroom from TPT. Heat Energy PowerPoint SpecificHeat Capacity lab Answers to Thermal Energy Worksheet Work,Energy, Thermal Energy Thermal Energy Worksheet. Use a value of 4,184/⋅JkgC∘ for the particular warmth capacity of water.

Specific Heat WS-2 Answers.docx - Dr. Hauser Specific Heat ...

Specific Heat WS-2 Answers.docx - Dr. Hauser Specific Heat ...

answer key specific heat worksheet answers 30 Specific Heat Worksheet Answer Key | Education Template smithfieldjustice.com. Chemistry Specific Heat Worksheet Answers - Ivuyteq ivuyteq.blogspot.com. equation exam. 10 best images of density worksheet with answer key. Reaction equilibrium. Worksheet answers heat section using lesson primary cssa stage excel db homework reign glory ...

Specific heat capacity worksheet

Specific heat capacity worksheet

specific heat worksheet answers Heat worksheet calculations answers answer specific key science energy worksheets thermal calculating temperature physical study studylib excel db unit measurement. Heat specific worksheet calculations involving introduction capacities calculating worksheets unmisravle studylib.

Specific Heat Worksheet #2

Specific Heat Worksheet #2

specific heat worksheet chemistry Specific Heat Chem Worksheet 16 1 Answer Key briefencounters.ca. thermodynamics nag chem 4t mondal. 15 Best Images Of Specific Heat Worksheet Answer Key - Specific Heat Worksheet Answers, Specific

Untitled

Untitled

Specific-Heat-Practice-Problems - Specific Heat Worksheet C ... Specific Heat Worksheet Show all work and proper units. A 15-g piece of iron absorbs 1086 joules of heat energy, and its temperature changes from 25°C to 175°C. Calculate the specific heat capacity of iron. How many joules of heat are needed to raise the temperature of 10 g of aluminum from 22°C to 55°C, if the specific heat of aluminum is 0 J/g°C?

Specific Heat Worksheet for 10th - 12th Grade | Lesson Planet

Specific Heat Worksheet for 10th - 12th Grade | Lesson Planet

Specific Heat Capacity - Worksheet (Key) - StuDocu Specific Heat Capacity specific heat capacity tl fi nc au296r?!)j 7t2 tet pc6f kl ti (xt, how much heat is up 36 kg of hydrogen gas from 12.0 to ... QUIZ, questions and answers; 10 e LMS Quiz 1 (design thinking) Rizal- Travel-pdf - Summary Studyguide for Survey of Accounting by Edmonds, Thomas, ISBN 9780077862374 ... Specific Heat Capacity ...

Worksheet - Specific Heat *Editable*

Worksheet - Specific Heat *Editable*

Specific Heat Worksheet (1).pdf - Specific Heat Worksheet... Specific Heat Worksheet #1 Directions: Calculate the following showingALLwork to receive credit. FormulaQ = mc T, whereQis heat in joules,cis specific heat capacity in J/gqC,mis the mass in grams, anddelta T is the change in temperature inq x For #1-4 circle the variables it gives you and underline what you are trying to find.

Specific Heat q=mc∆t Worksheet Key | Exercises Chemistry ...

Specific Heat q=mc∆t Worksheet Key | Exercises Chemistry ...

Specific Heat Capacity - Worksheet (Key) | PDF | Thermodynamic ... - Scribd Specific Heat Capacity - Worksheet (Key) - Free download as PDF File (.pdf), Text File (.txt) or read online for free. Specific Heat Capacity - Worksheet (Key) ... 3Q SCIENCE4-Answer Key. flower.power11233986. Eddy Current Inspection Services of TWISTED TUBE Heat Exchangers. AlexDdd123. Regenerative Heat Exchanger.

Thursday, January 18 - MS MCLARTY'S CLASSES

Thursday, January 18 - MS MCLARTY'S CLASSES

DOC Specific Heat Worksheet - Socorro Independent School District 1. A 15.75-g piece of iron absorbs 1086.75 joules of heat energy, and its temperature changes from 25°C to 175°C. Calculate the specific heat capacity of iron. 2. How many joules of heat are needed to raise the temperature of 10.0 g of aluminum from 22°C to 55°C, if the specific heat of aluminum is 0.90 J/g°C? 3.

Specific-Heat-Practice-Problems - Specific Heat Worksheet C ...

Specific-Heat-Practice-Problems - Specific Heat Worksheet C ...

PDF Specific Heat Calculations Worksheet Key Created Date: 4/28/2016 8:10:49 AM

Specific Heat Capacity - Worksheet (Key) - Specific Heat ...

Specific Heat Capacity - Worksheet (Key) - Specific Heat ...

Specific Heat Calculations Worksheet Answers - qstion.co Specific heat calculations worksheet answers. A 15 75 g piece of iron sorbs 1086 75 joules of. Chemistry temperature amp specificheat worksheet answer key. 100 0 g of 4 0 c water is heated until its temperature is 37 c. Specific heat worksheet 1 answer key. Specific heat capacity worksheet with answers. C q mat where q heat energy m mass and t.

Specific Heat Capacity Worksheet. worksheet

Specific Heat Capacity Worksheet. worksheet

calculating specific heat worksheet Calculating Specific Heat Worksheets. 8 Pictures about Calculating Specific Heat Worksheets : Chemistry Specific Heat Worksheet Answers - Promotiontablecovers, 12 Best Images of Heat And Temperature Worksheets - Temperature and Thermal Energy Worksheet and also Specific Heat Practice Problems Worksheet With Answers - Worksheetpedia.

Latent Heat worksheet

Latent Heat worksheet

PDF Isd 622 Specific Heat Worksheet Cp = q/mAT, where q = heat energy, m = mass, and T = temperature A 15.75-g piece of iron absorbs 1086.75 joules of heat energy, and its temperature changes from 250C to 1750C. Calculate the heat capacity of iron .cp 5 Cp How many joules of heat are needed to raise the temperature of 10.0 g of aluminum from 220C

what is the specific heat of silver if an 80 g sample is ...

what is the specific heat of silver if an 80 g sample is ...

DOC Specific Heat Practice Problems - Henry County Schools Specific Heat Use the table below to answer the following questions. Substance Specific Heat (J/g•°C) water 4.179 aluminum 0.900 copper 0.385 iron 0.450 granite 0.790 When 3.0 kg of water is cooled from 80.0(C to 10.0(C, how much heat energy is lost? How much heat is needed to raise a 0.30 kg piece of aluminum from 30.(C to 150(C?

Specific-Heat-KEY-0.pdf - Worksheet- Calculations involving ...

Specific-Heat-KEY-0.pdf - Worksheet- Calculations involving ...

Free Printable Specific Heat Worksheet Answers Collection Free Printable Specific Heat Worksheet Answers Collection The amount of heat required to raise the temperature of one gram of a substance by one Celsius degree is referred to as specific heat. Specific heat is usually measured in calories or joules per gram per Celsius degree. Water, for example, has a specific heat of 1 calorie (or 4.186 joules) per gram per Celsius degree. This is an attractive topic that kids will absolutely be crazy about! However, the trouble theories are too difficult ...

Worksheet answers.pdf - CH. 17 SPECIFIC HEAT WORKSHEET 1) How ...

Worksheet answers.pdf - CH. 17 SPECIFIC HEAT WORKSHEET 1) How ...

Specific Heat Worksheet | PDF

Specific Heat Worksheet | PDF

Specific Heat Worksheet #2.pdf - Specific Heat Worksheet #2 ...

Specific Heat Worksheet #2.pdf - Specific Heat Worksheet #2 ...

Specific Heat Worksheet

Specific Heat Worksheet

Specific Heat WKSHT Key | PDF

Specific Heat WKSHT Key | PDF

16-1SpecificHeat.pdf - Specific Heat Name _ Chem Worksheet 16 ...

16-1SpecificHeat.pdf - Specific Heat Name _ Chem Worksheet 16 ...

Specific Heat Capacity - Worksheet (Key) - Specific Heat ...

Specific Heat Capacity - Worksheet (Key) - Specific Heat ...

Specific Heat Capacity | Teaching Resources

Specific Heat Capacity | Teaching Resources

1025_Lec 2_01_Specific Heat Worksheet with answers ...

1025_Lec 2_01_Specific Heat Worksheet with answers ...

Solved Heat Transfer/ Specific Heat Problems Worksheet ...

Solved Heat Transfer/ Specific Heat Problems Worksheet ...

Heat Transfer Worksheet Answers Fresh Heat Transfer Worksheet ...

Heat Transfer Worksheet Answers Fresh Heat Transfer Worksheet ...

Specific HEAT Capacity - phet - SPECIFIC HEAT CAPACITY - StuDocu

Specific HEAT Capacity - phet - SPECIFIC HEAT CAPACITY - StuDocu

Specific Latent Heat Worksheet with Answers | Teaching Resources

Specific Latent Heat Worksheet with Answers | Teaching Resources

Calculations involving Specific Heat Worksheet | Exercises ...

Calculations involving Specific Heat Worksheet | Exercises ...

Chemistry Practice Problems: Heat & Specific Heat Capacity ...

Chemistry Practice Problems: Heat & Specific Heat Capacity ...

Phase Changes and Latent Heat

Phase Changes and Latent Heat

Solved Name: Date: Period: Specific Heat and Heat Capacity ...

Solved Name: Date: Period: Specific Heat and Heat Capacity ...

Solved The temperature of 335 g of water changed from 24.5 ...

Solved The temperature of 335 g of water changed from 24.5 ...

Calculating Heat ANSWER KEY

Calculating Heat ANSWER KEY

WS 7.1-Specific Heat and Calorimetry Worksheet for 10th ...

WS 7.1-Specific Heat and Calorimetry Worksheet for 10th ...

Specific Heat Capacity - Worksheet (Key) | PDF ...

Specific Heat Capacity - Worksheet (Key) | PDF ...

Specific Heat Calculations Worksheet Exercise | Exercises ...

Specific Heat Calculations Worksheet Exercise | Exercises ...

Finding the Specific Heat Capacity of a Substance given the Change in Its  Temperature and Internal Energy

Finding the Specific Heat Capacity of a Substance given the Change in Its Temperature and Internal Energy

Heat Transfer Specific Heat Capacity and Specific Latent Heat ...

Heat Transfer Specific Heat Capacity and Specific Latent Heat ...

Solved Calculating Specific Heat Worksheet Name dar 1. A ...

Solved Calculating Specific Heat Worksheet Name dar 1. A ...

0 Response to "39 specific heat worksheet answers"

Post a Comment

Iklan Atas Artikel

Iklan Tengah Artikel 1

Iklan Tengah Artikel 2

Iklan Bawah Artikel