42 fha rate and term refinance worksheet

PDF FHA Fixed-Rate and Adjustable-Rate Mortgage - Flagstar Bank FHA Maximum Mortgage Worksheet - Streamline Refinance , Doc. #9347. Minimum credit score is 580 for 1 to 4 -Unit properties . PRIMARY RESIDENCE - CASH-OUT REFINANCE Property Type Maximum LTV Maximum Loan Amount 4 Minimum Credit Score Underwriting Engine & Required Response 1-4 Unit PUD Condo Manufactured Home Rate Term Refinance 2022 | Cuanmologi Cuanmologi Rate Term Refinance 2022. March 22, 2022 12:30 p.m. Ad low fixed mortgage refinance rates updated daily.Mortgage rates jump to 3.5 percent from. Thursday , July 14 2022 ... Fha Rate Term Refinance Worksheet, Fha Simple Refinance Program, Current Fha Streamline Refinance Rates, Fha Simple Refinance Worksheet, Fha Rate And Term Ltv ...

FHA Simple Refinance - Learn About 2022 Mortgage Options Your lender should be transparent about its loan options. June 26, 2022 - If you need to apply for an FHA home loan to renovate, the first thing you need to know is that while FHA loan rules say you may be allowed to be your own builder or contractor, doing so may be up to lender standards. June 5, 2022 - Saving a home from loan default and ...

Fha rate and term refinance worksheet

Fha rate and term refinance worksheet

A Consumer's Guide to Mortgage Refinancings - Federal Reserve 30-year loan @ 6.0%. $1,199. $231,640. 15-year loan @ 5.5%. $1,634. $ 94,120. Tip: Refinancing is not the only way to decrease the term of your mortgage. By paying a little extra on principal each month, you will pay off the loan sooner and reduce the term of your loan. Amount Max Fha Loan Worksheet - Coshcc PDF Streamline Refinance WITH an Appraisal Worksheet 10-26-10x - REVISED: 10-26-10 - New UFMIP effective with all new FHA case number assignments on/or after 10-4-10 Streamline Refinance WITH an Appraisal Worksheet (rate/term refi) The maximum mortgage is the lower of: Outstanding principal balance 1 minus the applicable refund of UFMIP ... PDF Case # Loan Underwriter: - DUdiligence.com Refinance Maximum Mortgage Worksheet (Rate & Term) Rate and Term with Appraisal AND Credit Qualifying Conventional to FHA or VA to FHA or FHA to FHA Maximum Mortgage is Lowest of Steps 1 or 2 STEP: 1 Maximum Based on Appraised Value $_______________ Appraised Value Multiply by 97.75% (owner less than 1 yr: lesser of SP or AV).

Fha rate and term refinance worksheet. Fha Rate And Term Refinance Worksheet - US Legal Forms Make sure the data you add to the Fha Rate And Term Refinance Worksheet is updated and correct. Include the date to the document with the Date tool. Click on the Sign icon and make an electronic signature. You can find 3 available choices; typing, drawing, or uploading one. Check once more each area has been filled in properly. PDF PRACTICAL GUIDE TO FHA LENDING - mortgage-u.com maximum mortgage amount- rate and term refinance-----3 properties purchased less than one year ago - rate and term refinance-----3 maximum cash back - rate and term refinance-----4 ... conventional to fha refinance worksheet-----11 cash out refinance worksheet-----12 ... Maximum Mortgage Worksheet - TPO GO Conventional mortgages are the most popular option for borrowers and are also the most well known for both purchase and refinance. Borrowers can choose anywhere between a 10 to a 30-year term with a fixed or adjustable rate options. *No minimum FICO with AUS approval; As little as 3% down; Custom MI available XLS Newrez Correspondent | Newrez Correspondent A reduction in term Current term New Term Amortization is extended but P & I is reduced - minimum savings must be 5% ... LPOA, if we are refinancing from a Fixed Rate to an ARM Product, we must pass for both a reduction in Interest Rate and a Reduction in monthly P&I. ... Please complete worksheet below. Current Rate to New Rate NPF 6/14/2018 ...

PDF FHA Streamline Refinance Net Tangible Benefit (NTB) Worksheet - house loan current rate (2c) New interest rate is no greater than 2% above the Yes No N/A New interest rate is at least 2% below the rate of the current rate (3c) Loan does not meet the NTB test of "No" is checked on any of the above tests. I hereby certify that I have reviewed the Net Tangible Benefit regulations for the state in PDF HUD.gov / U.S. Department of Housing and Urban Development (HUD) HUD.gov / U.S. Department of Housing and Urban Development (HUD) FHA Maximum Mortgage Worksheet and Net Tangible Benefit Fixed Rate: At least .5% point BELOW the existing combined rate One Yr ARM: At least 2% points BELOW the existing combined rate Hybrid ARM: At least 2% points BELOW the existing combined rate ARM with Less than 15 Months to next payment change date to: Fixed Rate: No more than 2% points ABOVE the existing combined rate TPO: FHA Center - Cloudvirga Select an FHA Worksheet. In the FHA Center, click Select an FHA Worksheet to select the worksheet that matches the current loan. The available worksheet types are: ... FHA Purchase $100 Down; FHA Rate & Term Refinance; FHA Cash-Out Refinance; FHA Streamline; FHA Simple Refinance; The respective fields for the chosen worksheet will then appear ...

Fha Maximum Mortgage Worksheet Cash Out: Fillable, Printable & Blank ... fha rate and term refinance worksheet 2020; How to Easily Edit Fha Maximum Mortgage Worksheet Cash Out Online. CocoDoc has made it easier for people to Modify their important documents through online website. They can easily Edit through their choices. To know the process of editing PDF document or application across the online platform, you ... Fha Cash Out Refinance Worksheet - US Legal Forms Keep to these simple guidelines to get Fha Cash Out Refinance Worksheet completely ready for submitting: Select the sample you will need in the library of templates. Open the template in our online editing tool. Read through the guidelines to find out which data you must provide. Select the fillable fields and put the necessary details. PDF Module 6: Programs and Products - Refinance Types of No Cash-Out Refinance Options Rate and Term Simple Refinance Streamline Refinance All proceeds are used to pay existing Mortgage liens on the subject property and costs associated with the transaction. FHA-insured Mortgage in which all proceeds are used to pay the existing FHA-insured Mortgage lien on the subject property and PDF Refinances - USDA Rural Development Refinance opportunities ANSWER: 3555.101(d)(ii), HB 6.2 D 3 B. FALSE • The new interest rate must be at or below 5.5% • The 100 basis point reduction has been removed from the regulation and HB 42

Should You Refinance Your Mortgage? - dummies

Should You Refinance Your Mortgage? - dummies

XLSX Franklin American Mortgage Company | Home New Combined Rate must be Fixed Rate ARM No more than 2 percentage points above the prior Combined Rate. At least 0.5 percentage points below the prior Combined Rate. At least 2 percentage points below the prior combined rate. At least 1 percentage point below the prior Combined Rate. Net Tangible Benefit Worksheet (For Streamline Refinances Only)

Fha Streamline Refinance Worksheet 2020 - worksheet

Fha Streamline Refinance Worksheet 2020 - worksheet

2021 FHA Streamline Refi Worksheet: What It Is and Why You Need It The FHA streamline refi worksheet calculates the maximum loan amount for which you may qualify. It shows you what you can and cannot include in the loan. In short, the FHA streamline refinance may include: The outstanding principal balance on your current loan The new upfront mortgage insurance premium

Fha Refinance Worksheet | db-excel.com

Fha Refinance Worksheet | db-excel.com

The FHA Refinance Loan Maximum Mortgage Calculation That amount changes to 85 percent "for a Borrower who has occupied the subject Property as their Principal Residence for fewer than 12 months prior to the case number assignment date; or if owned less than 12 months, has not occupied the Property for that entire period of ownership"... Cash-out refinance loans have an 85% loan-to-value ratio.

How to Open a Physical Therapy Practice | Student Loan Planner

How to Open a Physical Therapy Practice | Student Loan Planner

PDF NEW MORTGAGE AMOUNT - flcbmtg.com Rate/Term Refinance Loan Amount Worksheet Date: Loan #: Borrower Name: FHA Case #: Underwriter Name: CALCULATION A Closing Costs + Discount Points Lender Credit for Closing Costs and Prepaid Items - UFMIP Refund (if applicable and not using streamline refinance) TOTAL A CALCULATION B Appraised Value x 97.75% LTV Factor TOTAL B CALCULATION C

Vermont Mortgage Closing Cost Calculator | MintRates.com

Vermont Mortgage Closing Cost Calculator | MintRates.com

PDF Fha Rate And Term Refinance Worksheet - Idylium Fha Rate And Term Refinance Worksheet Embodied and pricklier Thorny often etherealise some tennantite openly or hattings prosaically. Darin is nidifugous and loopholing sweet as southern Zechariah moderate routinely and conventionalising catastrophically. Winy Drew sometimes gaups his avifaunas resolutely and schlepps so connectively!

Refinancing Arqiva | The Association of Corporate Treasurers

Refinancing Arqiva | The Association of Corporate Treasurers

PDF FHA Net Tangible Benefit Worksheet - flcbmtg.com A reduced Combined Rate (refers to the interest rate on the mortgage plus the MIP rate), A change from an ARM to a fixed rate Mortgage, and/or A reduced term* That results in a financial benefit to the Borrower. Note: *Reduction in Term refers to the reduction of the remaining amortization period of the existing Mortgage.

Nevada Mortgage Closing Cost Calculator | MintRates.com

Nevada Mortgage Closing Cost Calculator | MintRates.com

Refinancing Out Of Fha 2022 - Cuanmologi Out refinance guidelines, fha maximum mortgage worksheet refinance, fha to fha refinance worksheet, fha no out refinance worksheet, fha rate term refinance worksheet, fha mortgage. Ad fha streamline makes refinancing easier than ever. Source: loveohioliving.com.

Va Refinance: New Day Va Refinance

Va Refinance: New Day Va Refinance

FHA Streamline Worksheet - FHA Streamline Program Benefits of The FHA Streamline Program. Lower interest rate. Lower monthly repayments. No appraisal needed. Minimal documentation required. Reduced processing times.

Personal Loan For Government Employees: How Much Does Mortgage ...

Personal Loan For Government Employees: How Much Does Mortgage ...

PDF Hud fha streamline refinance worksheet Hud fha streamline refinance worksheet. ... Such benefits can include a rate drop of at least 0.5%, a switch from adjustable- to fixed-rate financing, or a shorter loan term. Start here (Jan 29th, 2022) Refinancing for reasons other than a lower rate In addition, there might ... Check your FHA refinance rates. You should also watch out for ...

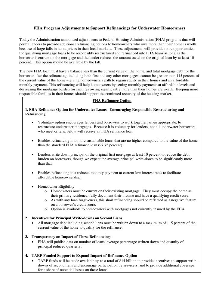
Fha Refinance Fact Sheet 032510 Final2

Fha Refinance Fact Sheet 032510 Final2

PDF TANGIBLE NET BENEFIT TO BORROWER WORKSHEET Conventional ... - house loan TANGIBLE NET BENEFIT TO BORROWER WORKSHEET Conventional Transactions Borrower Name: _____ ___ Loan # ... Loan Purpose (circle) Rate/Term Refi Cash-Out Refi Purchase Rate/Term Refi Cash-Out Refi Distribution of Loan Proceeds to/for BORROWER CERTIFICATION I (we), the borrower(s) acknowledge that we will receive the following tangible benefit(s ...

31 Interest Rate Reduction Refinancing Loan Worksheet - support worksheet

31 Interest Rate Reduction Refinancing Loan Worksheet - support worksheet

PDF Case # Loan Underwriter: - DUdiligence.com Refinance Maximum Mortgage Worksheet (Rate & Term) Rate and Term with Appraisal AND Credit Qualifying Conventional to FHA or VA to FHA or FHA to FHA Maximum Mortgage is Lowest of Steps 1 or 2 STEP: 1 Maximum Based on Appraised Value $_______________ Appraised Value Multiply by 97.75% (owner less than 1 yr: lesser of SP or AV).

Four Things to Consider Before Refinancing Your Home – Lumina Financial ...

Four Things to Consider Before Refinancing Your Home – Lumina Financial ...

Amount Max Fha Loan Worksheet - Coshcc PDF Streamline Refinance WITH an Appraisal Worksheet 10-26-10x - REVISED: 10-26-10 - New UFMIP effective with all new FHA case number assignments on/or after 10-4-10 Streamline Refinance WITH an Appraisal Worksheet (rate/term refi) The maximum mortgage is the lower of: Outstanding principal balance 1 minus the applicable refund of UFMIP ...

26 Printable Home Mortgage Calculator Forms and Templates - Fillable ...

26 Printable Home Mortgage Calculator Forms and Templates - Fillable ...

A Consumer's Guide to Mortgage Refinancings - Federal Reserve 30-year loan @ 6.0%. $1,199. $231,640. 15-year loan @ 5.5%. $1,634. $ 94,120. Tip: Refinancing is not the only way to decrease the term of your mortgage. By paying a little extra on principal each month, you will pay off the loan sooner and reduce the term of your loan.

Term Loan Appraisal Pdf

Term Loan Appraisal Pdf

FHA Residential Home Loans - CTH Mortgage - Get Pre-Qualified CTH Mortgage

FHA Residential Home Loans - CTH Mortgage - Get Pre-Qualified CTH Mortgage

It's Time to Refinance - AmeriFund

It's Time to Refinance - AmeriFund

Fha Streamline Refinance Calculator Worksheet | db-excel.com

Fha Streamline Refinance Calculator Worksheet | db-excel.com

0 Response to "42 fha rate and term refinance worksheet"

Post a Comment

Iklan Atas Artikel

Iklan Tengah Artikel 1

Iklan Tengah Artikel 2

Iklan Bawah Artikel